题目内容

电话的话筒可以把声音的变化转化为电流的变化.碳精话筒的结构如图所示,碳精盘和振动膜之间充满了接触不紧密的碳粒,声音使振动膜振动,改变碳粒接触的紧密程度,使碳粒的电阻发生变化,从而改变电路中电流的大小.如果碳粒的电阻能在45 Ω~55 Ω的范围内变化(电路中其余电阻忽略不计),当加在它两端的电压为3 V时,则电路中电流变化的范围为

[  ]

A.0~0.067 A

B.0~0.055 A

C.0.055 A~0.067 A

D.0.55 A~0.67 A

答案:C
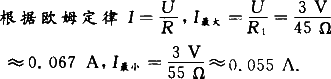
解析:


提示:

本题考点:结合欧姆定律考查电话话筒的工作原理.


练习册系列答案
相关题目

违法和不良信息举报电话:027-86699610 举报邮箱:58377363@163.com

精英家教网