题目内容
引体向上,虽然看起来简单,这一起一落间,整个上半身的肌肉都会得到锻炼,尤其是臂部、肩部和背部的肌肉。现在很多地方都把它作为中考体育测试的项目之一。该运动的规范动作是:两手正握单杠,由悬垂开始。上提时,下颚须超过杠面;下放时,两臂放直,不能曲臂。这样上拉下放,重复动作。王晓华同学能连续匀速做16个规范的引体向上动作,学习了功率的知识后同学们想估测王晓华同学做动作时的功率,请你帮他们完成下列问题:
(1)应测量哪些物理量,并用对应的字母表示;
(2)写出计算王晓华同学做动作时功率的表达式。
(1)应测量哪些物理量,并用对应的字母表示;
(2)写出计算王晓华同学做动作时功率的表达式。
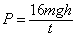
(1)王晓华同学的身体质量m;王晓华同学上升的高度h;王晓华同学连续匀速做16个规范的引体向上所用的时间t。
(2)
(2)
练习册系列答案
相关题目