题目内容
如图所示,工人用滑轮组提升重240N的物体,所用的
拉力为150N,在右侧手向下拉绳子自由端,使绳子自由端在
5s内匀速下降了4m.求:
(1)在图中用笔画线代替细绳组装滑轮组;
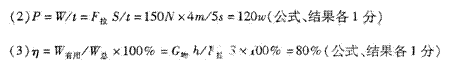
(2)拉力的功率;
(3)滑轮组的机械效率.![]()
![]()
解析
练习册系列答案
相关题目
题目内容
如图所示,工人用滑轮组提升重240N的物体,所用的
拉力为150N,在右侧手向下拉绳子自由端,使绳子自由端在
5s内匀速下降了4m.求:
(1)在图中用笔画线代替细绳组装滑轮组;
(2)拉力的功率;
(3)滑轮组的机械效率.![]()
![]()
解析