题目内容

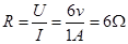
将一个标有“3V 3W”字样的灯泡接到9V的电源上,若要让它正常工作,应串联一个________Ω的电阻.

 

【答案】

6

【解析】

试题分析:“3V 3W”字样的灯泡正常工作时电阻为,正常工作时两端电压要达到额定电压3v,电流为额定电流,根据串联电阻分压特点,串联的电阻两端需要分压为串联电流处处相等,所以

考点:串联电路,电功率

 

练习册系列答案
相关题目
在“测定小灯泡的电阻”实验中,小雨同学用一个电压表、一个电流表、一个开关,电压为3V的电源,额定电压为2.5V的小灯泡和一个标有“20Ω、1.5A”的滑动变阻器.

(1)如果小灯泡的最小电阻约为5欧,电流表的量程应选
0.6
0.6
A为宜.
(2)请用笔画线代替导线,将图甲的实物电路连接完整(连线不得交叉).要求当滑动变阻器的滑片向左移动时,电流表示数减小.
(3)在闭合开关之前,图甲中滑动变阻器的滑片应放在阻值
最大
最大
处.闭合开关后,发现灯泡不发光,电流表和电压表都有示数,小灯泡不发光的原因是
电功率太小
电功率太小

(4)改变滑动变阻器的阻值,多次测量通过小灯泡的电流和他两端的电压,根据记录的数据,小雨画出了小灯泡电流随其两端电压变化的关系图象(如图乙),根据图象提供的信息,计算出小灯泡的正常工作的电阻为
10
10
Ω,流过小灯泡的电流跟电压不成正比的原因是
灯泡的电阻随温度的升高而增大(或不是一个定值)
灯泡的电阻随温度的升高而增大(或不是一个定值)

(5)另一组的同学在做实验时,电路连接无误. 闭合开关后,灯泡发光,发现电流表的指针明显偏转,而电压表的示数为零. 该故障的原因可能是
电压表断路
电压表断路
.?
(6)这个电路除了可以测小灯泡的电阻外,还可以用来测量小灯泡的
电功率
电功率

违法和不良信息举报电话:027-86699610 举报邮箱:58377363@163.com

精英家教网