题目内容

底面积为100cm2的烧杯中装有适量水。当金属块浸没在水中静止时,如图(甲)所示,弹簧测力计的示数F1=3.4N,水对杯底的压强为p1;当金属块总体积的1/4露出水面静止时,如图(乙)所示,弹簧测力计的示数为F2,水对杯底的压强为p2;若p1、p2之差为50Pa,g取10N/kg。求:

 

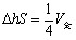
(1)据液体压强的变形公式得水面降低的高度为

因为水面下降的体积等于金属块露出的体积

 所以

 

(2)金属块浸没水中时,金属块的重力

 

金属块部分露出水面时,金属块受的浮力 

弹簧测力计的示数.

练习册系列答案
相关题目

违法和不良信息举报电话:027-86699610 举报邮箱:58377363@163.com

精英家教网