题目内容
如图,电源电压保持不变.闭合开关S后,滑动变阻器R0的滑片P在移运过程中,电压表的示数变化范围为0~4伏,电流表的示数变化范围为0.5~1安,求:
(1)R的阻值;
(2)R0的最大阻值;
(3)电源电压.
(1)R的阻值;
(2)R0的最大阻值;
(3)电源电压.
已知:U1=0V,I1=1A;U2=4V,I2=0.5A求:R,R0,U
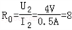
解:滑片P在a端时,U1=0伏,I1=1安,滑片P在b端时,U2=4伏,I2=0.5安,滑动变阻器的最大阻值为
Ω
电源电压U=I1R=1A×R①
电源电压U=I(R+R0)=0.5A ×(R十8 Ω)②
由①、②得0.5A ×(R+8)=1A ×R
解之:R=8 Ω,U=8V
解:滑片P在a端时,U1=0伏,I1=1安,滑片P在b端时,U2=4伏,I2=0.5安,滑动变阻器的最大阻值为
电源电压U=I1R=1A×R①
电源电压U=I(R+R0)=0.5A ×(R十8 Ω)②
由①、②得0.5A ×(R+8)=1A ×R
解之:R=8 Ω,U=8V
练习册系列答案
相关题目