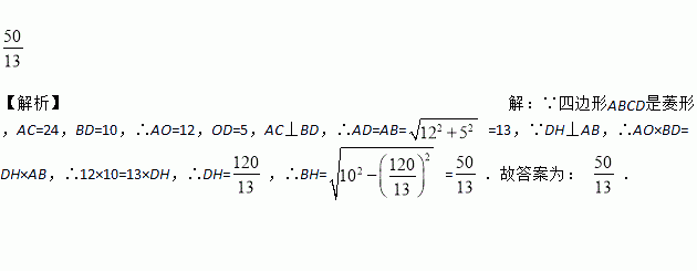
题目内容
如图,四边形ABCD是菱形,AC=24,BD=10,DH⊥AB于点H,则线段BH的长为______.
如图,∠1和∠2是对顶角的图形是( )
A. 甲 B. 乙 C. 丙 D. 丁
(2017·河北廊坊文安期中)如图所示,下列说法错误的是( )
A. ∠1和∠3是同位角
B. ∠1和∠5是同位角
C. ∠1和∠2是同旁内角
D. ∠5和∠6是内错角
在样本方差的计算式s2= [(x1-5)2+(x2-5)2+…+(x10-5)2]中,数字“10”表示____,数字“5”表示_____.
如图,已知AB∥DE,AB=DE,AF=DC,求证:四边形BCEF是平行四边形.
如图,四边形ABCD是平行四边形,点E是边CD上一点,且BC=EC,CF⊥BE交AB于点F,P是EB延长线上一点,下列结论:①BE平分∠CBF;②CF平分∠DCB;③BC=FB;④PF=PC,其中正确结论的个数为( )
A. 1 B. 2 C. 3 D. 4
如图,正方形ABCD中,E是BD上一点,BE=BC,则∠BEC的度数是( )
A. 45° B. 60° C. 67.5° D. 82.5°
某农村中学进行校园改造建设,他们的操场原来是正方形,改建后变为长方形,长方形的长比原来的边长多5米,宽比原来的边长少5米,那么操场的面积是比原来大了,还是比原来小了呢?相差多少平方米?
()如果,求的值.
()已知,求的值.