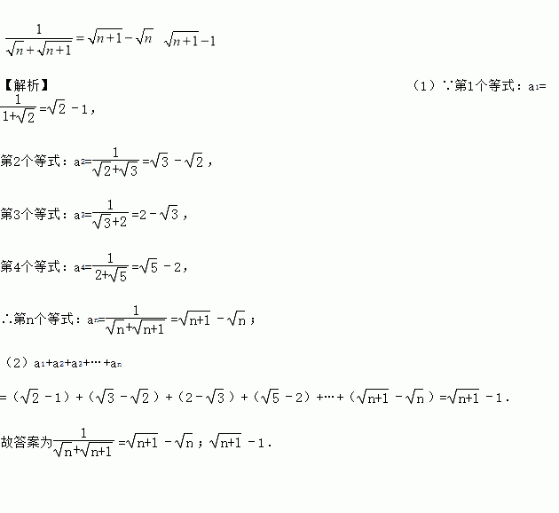
题目内容
观察下列等式:
第1个等式:a1=
=
﹣1,
第2个等式:a2=
=
﹣
,
第3个等式:a3=
=2﹣
,
第4个等式:a4=
=
﹣2,
按上述规律,回答以下问题:
(1)请写出第n个等式:an=______________;
(2)a1+a2+a3+…+an=____________________.
练习册系列答案
相关题目
题目内容
观察下列等式:
第1个等式:a1=
=
﹣1,
第2个等式:a2=
=
﹣
,
第3个等式:a3=
=2﹣
,
第4个等式:a4=
=
﹣2,
按上述规律,回答以下问题:
(1)请写出第n个等式:an=______________;
(2)a1+a2+a3+…+an=____________________.