题目内容
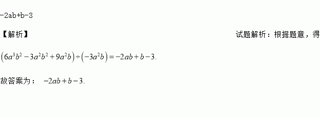
与单项式-3a2b的积是6a3b2-3a2b2+9a2b的多项式是_________.
如图,图中的几何体是将圆柱沿竖直方向切掉一半后,再在中心挖去一个圆柱得到的,则该几何体的左视图是( )
A. B. C. D.
若x,y为实数,且|x﹣2|+(y+1)2=0,则 的值是__.
有一面积为60的梯形,其上底长是下底长的,设下底长为x,高为y,则y与x的函数关系式是 __________;
已知an=-1,b2n=3,求(-a2b)4n的值.
要使x(x+a)+3x-2b=x2+5x+4恒成立,则a,b的值分别是( )
A. a=-2,b=-2
B. a=2,b=2
C. a=2,b=-2
D. a=-2,b=2
(2017·四川资阳雁江区模拟)计算a·a5-(2a3)2的结果为( )
A. a6-2a5 B. -a6 C. a6-4a5 D. -3a6
定义新运算:对于任意实数a,b都有:a⊕b=a(a﹣b)+1。如:2⊕5=2×(2﹣5)+1=2×(﹣3)+1=﹣5,那么不等式3⊕x<13的解为_____________。
如图,在四边形ABCD中,∠A=90°,AD=8.对角线BD⊥CD,P是BC边上一动点,连接PD.若∠ADB=∠C,则PD长的最小值为__________ .