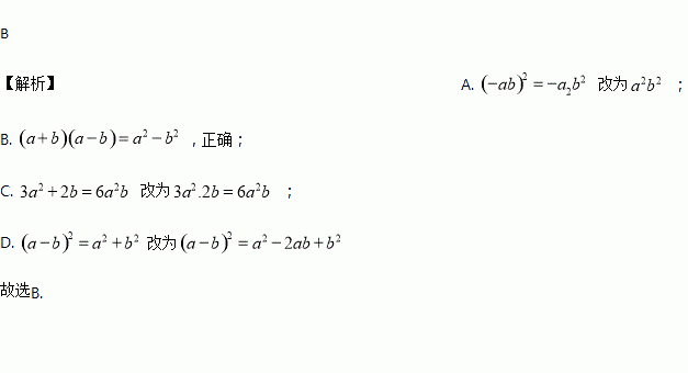
题目内容
下列运算正确的是( ).
A.
B. ![]()
C.
D. ![]()
练习册系列答案
相关题目
如果两个有理数的积是正数,和也是正数,那么这两个有理数( )
A. 同号,且均为负数; B. 异号,且正数的绝对值比负数的绝对值大;
C. 同号,且均为正数; D. 异号,且负数的绝对值比正数的绝对值大;
某校七年级各班分别选出3名学生组成班级代表队,参加知识竞赛,得分最多的班级为优胜班级,各代表队比赛结果如下:
班级 | 七(1) | 七(2) | 七(3) | 七(4) | 七(5) | 七(6) | 七(7) | 七(8) | 七(9) | 七(10) |
得分 | 85 | 90 | 90 | 100 | 80 | 100 | 90 | 80 | 85 | 90 |
(1)写出表格中得分的众数、中位数;
(2)学校从获胜班级的代表队中各抽取1名学生组成“绿色环保监督”小组,小明、小红分别是七(4)班和七(6)班代表队的学生,用列表法或画树状图的方法说明同时抽到小明和小红的概率是多少?