题目内容
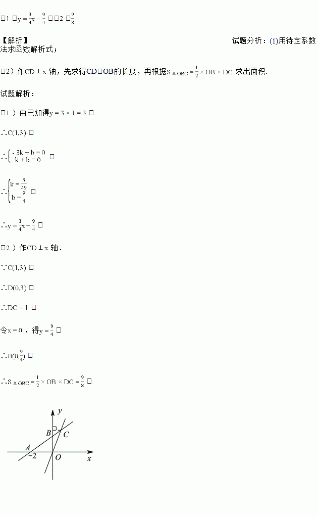
如图,在平面直角坐标系中,一次函数的图象与轴交于点,与轴交于点,且与正比例函数的图象的交点为.
()求一次函数的解析式.
()求的面积.
如图,在中,,,为边上的高,动点从点出发,沿方向以的速度向点运动.设的面积为,矩形的面积为,运动时间为秒(),则___________秒时,.
请你认真阅读下面的小探究系列,完成所提出的问题.
(1)如图1,将角尺放在正方形ABCD上,使角尺的直角顶点E与正方形ABCD的顶点D重合,角尺的一边交CB于点F,将另一边交BA的延长线于点G.求证:EF=EG.
(2)如图2,移动角尺,使角尺的顶点E始终在正方形ABCD的对角线BD上,其余条件不变,请你思考后直接回答EF和EG的数量关系:EF EG(用“=”或“≠”填空)
(3)运用(1)(2)解答中所积累的活动经验和数学知识,完成下题:如图3,将(2)中的“正方形ABCD”改成“矩形ABCD”,使角尺的一边经过点A(即点G、A重合),其余条件不变,若AB=4,BC=3,求的值.
三角形两边的长是3和4,第三边的长是方程x2﹣12x+35=0的根,则该三角形的周长为( )
A. 14 B. 12 C. 12或14 D. 以上都不对
如图,在平面直角坐标系中,一次函数的图象与轴交于点,与轴交于点,点的坐标为,连接.
()求证:是等边三角形.
()点在线段的延长线上,连接,作的垂直平分线,垂足为点,并与轴交于点,分别连接、.
①如图,若,直接写出的度数.
②若点在线段的延长线上运动(与点不重合),的度数是否变化?若变化,请说明理由;若不变,求出的度数.
()在()的条件下,若点从点出发在的延长线上匀速运动,速度为每秒个单位长度,与交于点,设的面积为,的面积为,,运动时间为秒时.求关于的函数关系式.
如图,在平行四边形中,已知,,平分交边于点,则__________.
如图,已知函数和的图象交于点,则下列结论中错误的是( ).
A. B. C. 当时, D.
解下列方程:
(1)2x2﹣3x﹣2=0(用配方法)
(2)(x﹣2)2﹣3x(x﹣2)=0.
如图,小明从家到学校分别有①、②、③三条路可走:①为折线段,②为折线段,③为折线段.三条路的长依次为、、,则( ).
A. B. C. D.