题目内容
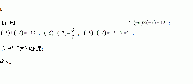
下面四个算式的计算结果为负数的是( )
A. B. C. D.
计算:(1)﹣14﹣(﹣5)×+(﹣2)3÷|﹣32+1|;
(2)﹣10+8÷(﹣2)2﹣(﹣2)3×(﹣3)
如图,∠BOC=9°,点A在OB上,且OA=1,按以下要求画图:以点A为圆心,1为半径向右画弧交OC于点A1,得第一条线段AA1;再以点A1为圆心,1为半径向右画弧交OB于点A2,得第二条线段A1A2;再以点A2为圆心,1为半径向右画弧交OC于点A3,得第三条线段A2A3……这样一直画下去,最多能画____条线段.
点表示数轴上的一个点,将点向右移动个单位,再向左移动个单位,终点恰好是原点,则点表示的数是______________.
比较大小: ____ (用“>”、“<”号填空 ).
(1)阅读下面材料:点A、B在数轴上分别表示实数a、b,A、B两点之间的距离表示为∣AB∣.当A、B两点中有一点在原点时,不妨设点A在原点,
如图1,∣AB∣=∣OB∣=∣b∣=∣a-b∣;
当A、B两点都不在原点时,
如图2,点A、B都在原点的右边
∣AB∣=∣OB∣-∣OA∣=∣b∣-∣a∣=b-a=∣a-b∣;
①如图3,点A、B都在原点的左边,
∣AB∣=∣OB∣-∣OA∣=∣b∣-∣a∣=-b-(-a)=∣a-b∣;
②如图4,点A、B在原点的两边,
∣AB∣=∣OB∣+∣OA∣=∣a∣+∣b∣= a +(-b)=∣a-b∣;
(2)回答下列问题:
①数轴上表示-3和-5的两点之间的距离是___ __
数轴上表示3和-3的两点之间的距离是___ ___;
②数轴上表示x和-3的两点A和B之间的距离是__ __,
如果∣AB∣=4,那么x为__ __;
已知整数a1,a2,a3,a4…满足下列条件:a1=0,a2=﹣|a1+1|,a3=﹣|a2+2|,a4=﹣|a3+3|,…,依此类推,则a2016的值为_______.
若x的相反数是2,|y|=6,则x+y的值为( )
A. -8 B. 4 C. 8或4 D. -8或4
(1)计算: (2)计算: