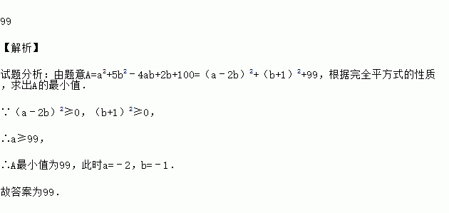
题目内容
若A=a2+5b2﹣4ab+2b+100,则A的最小值是 .
如图,点A是反比例函数图象上一点,过点A作AB⊥y轴于点B,点P在x轴上,且△ABP的面积为6,则这个反比例函数的表达式为________.
已知抛物线.
(Ⅰ)若抛物线的顶点为(-2,-4),抛物线经过点(-4,0).
①求该抛物线的解析式;
②连接,把所在直线沿轴向上平移,使它经过原点,得到直线,点是直线上一动点.
设以点, , , 为顶点的四边形的面积为,点的横坐标为,当≤≤时,求的取值范围;
(Ⅱ)若>0, >1,当时, ,当0<<时, >0,试比较与1的大小,并说明理由.
有两把不同的锁和三把钥匙,其中两把钥匙恰好分别能打开这两把锁,第三把钥匙不能打开这两把锁,任意取出一把钥匙去开任意的一把锁,一次打开锁的概率是( )
A. B. C. D.
的值等于( )
(A) (B) (C) (D)1
计算题:
(1)
(2)(x+2y﹣3)(x﹣2y+3).
若a2+4b2﹣2a+4b+2=0,则a=_____,b=_____.
已知:如图所示,∠1=∠2,∠3=∠4,GF⊥AB于G点,那么CD与AB是否互相垂直?试判断并说明理由.
下列各式中,y是x的二次函数的是( )
A. y= B. y=x2+x﹣2 C. y=2x+1 D. y2=x2+3x