题目内容
计算与化简
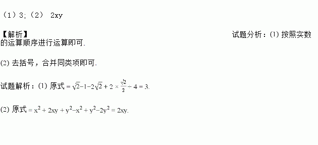
(1)计算:![]()
(2)化简求值:![]()
练习册系列答案
相关题目
(10分)“水是生命之源”,某市自来水公司为鼓励用户节约用水,按以下规定收取水费:
用水量/月 | 单位(元/吨) |
不超过40吨的部分 | 1 |
超过40吨的部分 | 1. 5 |
另:每吨用水加收0. 2元的城市污水处理费 |
(1)某用户1月份共交水费65元,问1月份用水多少吨?
(2)若该用户水表有故障,每次用水只有60%记入用水量,这样在2月份交水费43. 2元,该用户2月份实际应交水费多少元?