搜索
题目内容
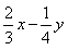
甲数
的
与乙数
的
差可以表示为_________
试题答案
相关练习册答案
解析
练习册系列答案
永乾图书快乐假期暑假作业延边人民出版社系列答案
文诺文化快乐假期暑假作业延边人民出版社系列答案
暑假作业新疆青少年出版社系列答案
暑假作业吉林人民出版社系列答案
津桥教育暑假提优衔接新世界出版社系列答案
暑假作业假期园地中原农民出版社系列答案
系统集成暑假生活北京师范大学出版社系列答案
快乐暑假假期面对面南方出版社系列答案
期末加假期期末大赢家冲刺100分西安出版社系列答案
假期作业自我检测吉林出版集团有限责任公司系列答案
相关题目
甲数
的
与乙数
的
差可以表示为_________
甲数
的
与乙数
的
差可以表示为( )
甲数
的
与乙数
的
差可以表示为_________
甲数
的
与乙数
的
差可以表示为_________
甲数
的
与乙数
的
差可以表示为_________
关 闭
试题分类
高中
数学
英语
物理
化学
生物
地理
初中
数学
英语
物理
化学
生物
地理
小学
数学
英语
其他
阅读理解答案
已回答习题
未回答习题
题目汇总
试卷汇总
练习册解析答案