题目内容
如图,在直角坐标系xOy中,点A在第一象限,点B在x轴的正半轴上,△AOB为正三角形,射线OC⊥AB,在OC上依次截取点P1,P2,P3,…,Pn,使OP1=1,P1P2=3,P2P3=5,…,Pn-1Pn=2n-1(n为正整数),分别过点P1,P2,P3,…,Pn向射线OA作垂线段,垂足分别为点Q1,Q2,Q3,…,Qn,则点Qn的坐标为 .
![]()
练习册系列答案
相关题目
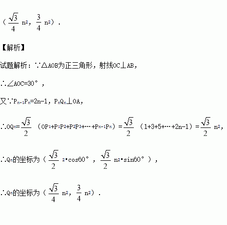
题目内容
如图,在直角坐标系xOy中,点A在第一象限,点B在x轴的正半轴上,△AOB为正三角形,射线OC⊥AB,在OC上依次截取点P1,P2,P3,…,Pn,使OP1=1,P1P2=3,P2P3=5,…,Pn-1Pn=2n-1(n为正整数),分别过点P1,P2,P3,…,Pn向射线OA作垂线段,垂足分别为点Q1,Q2,Q3,…,Qn,则点Qn的坐标为 .
![]()