题目内容
如图,已知反比例函数
的图象与一次函数y=k2x+b的图象交于A、B两点,A(2,n),B(﹣1,﹣2).
(1)求反比例函数和一次函数的关系式;
(2)求△AOB的面积.
(3)利用图象说明反比例函数值大于一次函数值时对应的x的范围.
(1)求反比例函数和一次函数的关系式;
(2)求△AOB的面积.
(3)利用图象说明反比例函数值大于一次函数值时对应的x的范围.
解:(1)∵双曲线y1=
过点(﹣1,﹣2),
∴k1=﹣1×(﹣2)=2.
∵双曲线y1=
,过点(2,n),
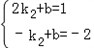
∴n=1.由直线y2=k2x+b过点A,B得:
,解得
.
∴反比例函数关系式为y1=
,一次函数关系式为y2=x﹣1.
(2)由一次函数的解析式,得直线AB与y轴的交点是(0,﹣1),
则△AOB的面积=S△BCO+S△ACO=
×1×1+
×1×2=
;
(3)根据图象得出:当x<﹣1或0<x<2时,y1>y2.
∴k1=﹣1×(﹣2)=2.
∵双曲线y1=
∴n=1.由直线y2=k2x+b过点A,B得:
∴反比例函数关系式为y1=
(2)由一次函数的解析式,得直线AB与y轴的交点是(0,﹣1),
则△AOB的面积=S△BCO+S△ACO=
(3)根据图象得出:当x<﹣1或0<x<2时,y1>y2.
练习册系列答案
相关题目