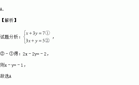
题目内容
若x、y满足方程组,则x﹣y的值等于( )
A.﹣1 B.1 C.2 D.3
某大型超市从生产基地购进一批水果,运输过程中质量损失10%,假设不计超市其他费用,如果超市要想至少获得20%的利润,那么这种水果的售价在进价的基础上应至少提高( )
A. 40% B. C. D. 30%
若与是同类二次根式,则的最小正整数值是( ).
A. B. C. D.
一张试卷共25道题,做对一道题得4分,做错或不做倒扣1分,小红做完试卷得70分,则她做对了 道题.
假期到了,17名女教师去外地培训,住宿时有2人间和3人间可供租住,每个房间都要住满,她们有几种租住方案( )
A. 5种 B. 4种 C. 3种 D. 2种
已知一个三角形的两条边长分别是1cm和2cm,一个内角为40度.
(1)请你借助图1画出一个满足题设条件的三角形;
(2)你是否还能画出既满足题设条件,又与(1)中所画的三角形不全等的三角形?若能,请你在图1的右边用“尺规作图”作出所有这样的三角形;若不能,请说明理由;
(3)如果将题设条件改为“三角形的两条边长分别是3cm和4cm,一个内角为40°”,那么满足这一条件,且彼此不全等的三角形共有几个.
友情提醒:请在你画的图中标出已知角的度数和已知边的长度,“尺规作图”不要求写作法,但要保留作图痕迹.
如图,四边形ABCD的对角线AC,BD相交于点O, △ABO≌△ADO。下列结论:①AC⊥BD;②CB=CD;③△ABC≌△ADC;④DA=DC.其中正确结论的序号是______________。
如图,∠1=∠2=80°,直线AB与CD平行吗?说明理由.
利用完全平方公式计算:
1032=(100+______)2=1002+2×100×_______+(_____)2=_______.