题目内容

已知y=(m+1)是反比例函数,则m=   
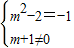
【答案】分析:根据反比例函数的定义.即y=(k≠0),只需令m2-2=-1、m+1≠0即可.
解答:解:∵y=(m+1)是反比例函数,

解之得m=1.
故答案为:1.
点评:本题考查了反比例函数的定义,重点是将一般式(k≠0)转化为y=kx-1(k≠0)的形式.
练习册系列答案
相关题目

违法和不良信息举报电话:027-86699610 举报邮箱:58377363@163.com

精英家教网