题目内容
如图,在直角坐标系中,已知点A((1)若抛物线y=
(2)在(1)中的抛物线的对称轴上求一点P,使得△PBD的周长最小;
(3)设Q为(1)中的抛物线的对称轴上的一点,在抛物线上是否存在这样的点M,使得四边形BCQM是平行四边形?若存在,求出点M的坐标;若不存在,说明理由.
【答案】分析:(1)根据A(
,0),B(-
,0)可求圆半径是2
,连接AD,在Rt△AOD中,可求OD,即D(0,-3),把C,D两点坐标代入抛物线y=
x2+bx+c,可求抛物线解析式,将B点坐标代入解析式进行检验即可;
(2)由(1)知,点B关于抛物线对称轴的对称点为点C,连接CD,交抛物线对称轴于P点,P点即为所求,先求直线CD的解析式,已知P点横坐标x=
,代入直线CD的解析式即可求P;
(3)∵BC=4
,Q点横坐标是
,M在Q点左边,则M点横坐标为
-4
=-3
,代入抛物线解析式可求M点坐标.
解答:解:(1)∵OA=
,AB=AC=2
,
∴B(-
,0),C(3
,0),连接AD,
在Rt△AOD中,AD=2
,OA=
,
∴OD=
=3,
∴D的坐标为(0,-3),(3分)
又∵D,C两点在抛物线上,
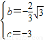
∴
,
解得
,
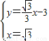
∴抛物线的解析式为:y=
x2-
x-3,(5分)
当x=-
时,y=0,
∴点B(-
,0)在抛物线上,(6分)
(2)∵y=
x2-
x-3,
=
(x-
)2-4,
∴抛物线y=
x2-
x-3的对称轴方程为x=
,(7分)
在抛物线的对称轴上存在点P,使△PBD的周长最小.
∵BD的长为定值∴要使△PBD周长最小只需PB+PD最小.
连接DC,则DC与对称轴的交点即为使△PBD周长最小的点.
设直线DC的解析式为y=mx+n.
由
,
得
,
∴直线DC的解析式为y=
x-3.
由
,
得
,
故点P的坐标为
.(9分)

(3)存在,设Q(
,t)为抛物线对称轴x=
上一点,
M在抛物线上要使四边形BCQM为平行四边形,
则BC∥QM且BC=QM,点M在对称轴的左侧.
于是,过点Q作直线L∥BC与抛物线交于点M(xm,t),
由BC=QM得QM=4
,
从而xm=-3
,t=12,
另外:M在抛物线的顶点上也可以构造平行四边形!
故在抛物线上存在点M(-3
,12)或(5
,12)或(
,-4),使得四边形BCQM为平行四边形.(12分)
点评:本题考查了点的坐标及二次函数解析式的求法,要求会在坐标系中求线段和最小的问题以及探求平行四边形的条件.
(2)由(1)知,点B关于抛物线对称轴的对称点为点C,连接CD,交抛物线对称轴于P点,P点即为所求,先求直线CD的解析式,已知P点横坐标x=
(3)∵BC=4
解答:解:(1)∵OA=
∴B(-
在Rt△AOD中,AD=2
∴OD=
∴D的坐标为(0,-3),(3分)
又∵D,C两点在抛物线上,
∴
解得
∴抛物线的解析式为:y=
当x=-
∴点B(-
(2)∵y=
=
∴抛物线y=
在抛物线的对称轴上存在点P,使△PBD的周长最小.
∵BD的长为定值∴要使△PBD周长最小只需PB+PD最小.
连接DC,则DC与对称轴的交点即为使△PBD周长最小的点.
设直线DC的解析式为y=mx+n.
由
得
∴直线DC的解析式为y=
由
得
故点P的坐标为
(3)存在,设Q(
M在抛物线上要使四边形BCQM为平行四边形,
则BC∥QM且BC=QM,点M在对称轴的左侧.
于是,过点Q作直线L∥BC与抛物线交于点M(xm,t),
由BC=QM得QM=4
从而xm=-3
另外:M在抛物线的顶点上也可以构造平行四边形!
故在抛物线上存在点M(-3
点评:本题考查了点的坐标及二次函数解析式的求法,要求会在坐标系中求线段和最小的问题以及探求平行四边形的条件.
练习册系列答案
相关题目