搜索
题目内容
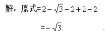
试题答案
相关练习册答案
练习册系列答案
名校课堂系列答案
西城学科专项测试系列答案
小考必做系列答案
小考实战系列答案
小考复习精要系列答案
小考总动员系列答案
小升初必备冲刺48天系列答案
68所名校图书小升初高分夺冠真卷系列答案
伴你成长周周练月月测系列答案
小升初金卷导练系列答案
相关题目
若(x+1)
2
+
2y-1
=0,则x+y的值为( )
A、-1
B、
1
2
C、0
D、
-
1
2
0
0
8、某仓储系统有3条输入传送带,3条输出传送带.某日,控制室的电脑显示,每条输入传送带每小时进库的货物流量如图(1),每条输出传送带每小时出库的货物流量如图(2).若该日,仓库在0时至5时货物存量变化情况如图(3)所示,则下列正确说法共有( )
①该日0时仓库中有货物2吨;
②该日5时仓库中有货物5吨;
③在0时至2时有2条输入传送带和1条输出传送带在工作;
④在2时至4时有2条输入传送带和2条输出传送带在工作;
⑤在4时至5时有2条输入传送带和3条输出传送带在工作.
A、1个
B、2个
C、3个
D、4个
一个不透明的盒子中放有四张分别写有数字1,2,3,4的红色卡片和三张分别写有数字1,2,3的蓝色卡片,卡片除颜色和数字外完全相同.
(1)从中任意抽取一张卡片,求该卡片上写有数字1的概率;
(2)将3张蓝色卡片取出后放入另外一个不透明的盒子内,然后在两个盒子内各任意抽取一张卡片,以红色卡片上的数字作为十位数,蓝色卡片上的数字作为个位数组成一个两位数,求这个两位数大于22的概率.
关 闭
试题分类
高中
数学
英语
物理
化学
生物
地理
初中
数学
英语
物理
化学
生物
地理
小学
数学
英语
其他
阅读理解答案
已回答习题
未回答习题
题目汇总
试卷汇总
练习册解析答案