题目内容
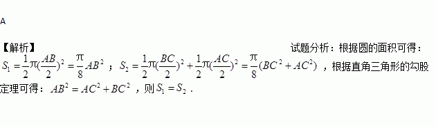
如图,分别以直角△ABC的三边AB,BC,CA为直径向外作半圆.设直线AB左边阴影部分的面积为S1,右边阴影部分的面积和为S2,则( )
![]()
A. S1=S2 B. S1<S2 C. S1>S2 D. 无法确定
练习册系列答案
相关题目
题目内容
如图,分别以直角△ABC的三边AB,BC,CA为直径向外作半圆.设直线AB左边阴影部分的面积为S1,右边阴影部分的面积和为S2,则( )
![]()
A. S1=S2 B. S1<S2 C. S1>S2 D. 无法确定