题目内容
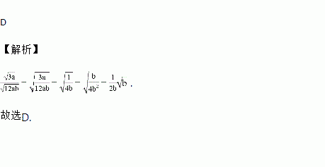
把化简后得
A. 4b B. C. D.
如图,一块矩形土地ABCD由篱笆围着,并且由一条与CD边平行的篱笆EF分开.已知篱笆的总长为900m(篱笆的厚度忽略不计),当AB=_____m时,矩形土地ABCD的面积最大.
方程的根是________.
计算:(1) (2)
(3) (4)
(5) (6)
计算:-=______.
下列式子中二次根式的个数有
;;;;;;
A. 2个 B. 3个 C. 4个 D. 5个
中国机器人创意大赛于2014年7月15日在哈尔滨开幕.如图是一参赛队员设计的机器人比赛时行走的路径,机器人从A处先往东走4m,又往北走1.5m,遇到障碍后又往西走2m,再转向北走4.5m处往东一拐,仅走0.5m就到达了B.问机器人从点A到点B之间的距离是多少?
如图,∠AOC=∠BOC,点P在OC上,PD⊥OA于点D,PE⊥OB于点E.若OD=8,OP=10,则PE的长为( )
A. 5 B. 6 C. 7 D. 8
如图所示是三个反比例函数,,在轴右边的图象,由此观察得到、、的大小关系是( )
A. B. C. D.