题目内容
已知点A(-2,-c)向右平移8个单位得到点A′,A与A′两点均在抛物线y=ax2+bx+c上,且这条抛物线与y轴的交点的纵坐标为-6,求这条抛物线的顶点坐标.
【答案】分析:根据平移可得到A′的坐标.与y轴的交点的纵坐标为-6,即抛物线中的c为-6,把A,A′坐标代入抛物线即可.
解答:解:由抛物线y=ax2+bx+c与y轴交点的纵坐标为-6,得c=-6.
∴A(-2,6),点A向右平移8个单位得到点A′(6,6).
∵A与A′两点均在抛物线上,
∴
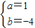
,解这个方程组,得
,
故抛物线的解析式是y=x2-4x-6=(x-2)2-10,
∴抛物线顶点坐标为(2,-10).
点评:本题考查用待定系数法求函数解析式,以及一般表示法转换为顶点式.需找到相应的抛物线上的点.
解答:解:由抛物线y=ax2+bx+c与y轴交点的纵坐标为-6,得c=-6.
∴A(-2,6),点A向右平移8个单位得到点A′(6,6).
∵A与A′两点均在抛物线上,
∴
故抛物线的解析式是y=x2-4x-6=(x-2)2-10,
∴抛物线顶点坐标为(2,-10).
点评:本题考查用待定系数法求函数解析式,以及一般表示法转换为顶点式.需找到相应的抛物线上的点.
练习册系列答案
相关题目