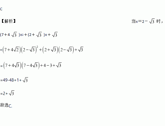
题目内容
若x=2-,则代数式(7+4 )x2+(2+)x+的值是( )
A. 0 B. C. 2+ D. 2-
已知:如图,在梯形ABCD中,DC∥AB,AD=BC,BD平分∠ABC,∠A=60°.
求:(1)求∠CDB的度数;
(2)当AD=2时,求对角线BD的长和梯形ABCD的面积.
某条公共汽车线路收支差额与乘客量的函数关系如图所示(收支差额车票收入支出费用),由于目前本条线路亏损,公司有关人员提出了两条建议:建议(Ⅰ)不改变支出费用,提高车票价格;建议(Ⅱ)不改变车票价格,减少支出费用. 下面给出的四个图形中,实线和虚线分别表示目前和建议后的函数关系,则( )
④ ③ ② ①
A. ①反映了建议(Ⅰ),③反映了建议(Ⅱ) B. ②反映了建议(Ⅰ),④反映了建议(Ⅱ)
C. ①反映了建议(Ⅱ),③反映了建议(Ⅰ) D. ②反映了建议(Ⅱ),④反映了建议(Ⅰ)
如图所示,将两条等宽的纸条重叠在一起,得到四边形,若,则___.
顺次连接对角线互相垂直的四边形各边中点所得的四边形一定是( )
A. 平行四边形 B. 菱形 C. 矩形 D. 正方形
如图,已知:E、F分别是AB和CD上的点,DE、AF分别交BC于G、H, A=D, 1=2,求证: B=C.
求下列各式中x的值: (1) 4(x+2)2﹣5=11 (2) (x﹣2)3+27=0
若点在第二象限,那么点││)在( )
A. 第一象限 B. 第二象限 C. 第三象限 D. 第四象限
如图,在Rt△ABC中,∠C=90°。若AB=15,则正方形ADEC和正方形BCFG的面积和为( )
A、150 B、200 C、225 D、无法计算