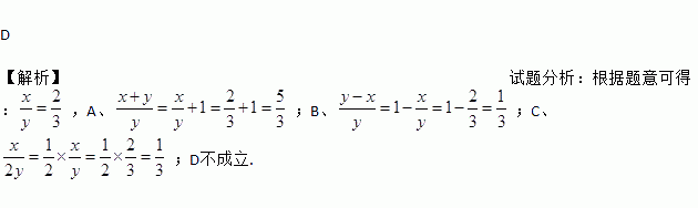
题目内容
若,则下列各式不成立的是( ).
A. B. C. D.
在数轴上表示的点的距离等于个单位长度的点所表示的数是__________.
已知点A(-2,3),B(4,3),C(-1,-3).
(1)求A,B两点之间的距离;
(2)求点C到x轴的距离;
(3)求三角形ABC的面积;
(4)观察线段AB与x轴的关系,若点D是线段AB上一点(不与A,B重合),则点D的坐标有什么特点?
点A(-4,3)和点B(-8,3),则A,B相距( )
A. 4个单位长度 B. 12个单位长度 C. 10个单位长度 D. 8个单位长度
若=,则=____,=____.
如果ab=cd,则下列比例式中错误的是( )
A. = B. = C. = D. =
如图,在中,,是边上的一点,连接,使,是上的一点,以为直径的⊙经过点.
()求证:是⊙的切线.
()若,⊙的半径为,求阴影部分的面积.(结果保留根号和)
如图,在正五边形内部找一点,使得四边形为平行四边形,甲、乙两人的作法如下:甲:连接、,两线段相交于点,则即为所求;
乙:先取的中点,再以为圆心,长为半径画弧,交于点,则即为所求,对于甲、乙两人的作法,下列判断正确( ).
A. 两人皆正确 B. 两人皆错误 C. 甲正确,乙错误 D. 甲错误,乙正确
如果某数的一个平方根是-6,那么这个数为 。