题目内容
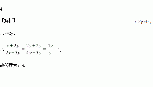
若x-2y=0,则=__________.
已知二次函数的图象与x轴有交点,则k的取值范围是__________.
如图,在平面直角坐标系中,A(-2,-1),B(2,-2),C(3,1).
(1)在图中作出△ABC关于x轴的对称图形△A1B1C1(A和A1,B和B1,C和C1分别是对应顶点).
(2)写出点A1,B1,C1的坐标:A1_______, B1______, C1______.
(3)△A1B1C1的面积为__________.
不等式在数轴上表示为( )
A. B. C. D.
因式分【解析】
(1)4ax2-9ay2 (2)-3m2+6mn-3n2
(3)mx2-(m-2)x-2
已知等腰三角形的一个内角为 50°,则顶角为____________.
已知一个等腰三角形两边长分别为5,6,则它的周长为( )
A. 16 B. 17 C. 16 或 17 D. 10 或 12
比较大小: _________
如图,四边形ABCD中,∠A=90°,AB=3,BC=13,CD=12,AD=4,求四边形ABCD的面积.