题目内容

一列火车在A城的正北240处,以120km /h 的速度驶向A城。同时,一辆汽车在A城的正东120km 处,以120 km/h 速度向正西方向行驶。假设火车和汽车的行驶方向和速度都保持不变,问何时火车与汽车之间的距离最近?当火车与汽车距离最近时,汽车是否已过铁路与公路的交叉口?
解:如图设经过x时,火车到达B处,汽车到达C处,两车距离为S,
(km),(km)
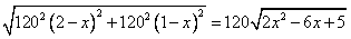
由勾股定理 

=
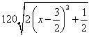
=
时S的最小值为
即经过h ,两车之间距离最近,最近距离为km.
这时,汽车行驶的路程为km,所以已经通过铁路与公路的交叉口。
练习册系列答案
相关题目

违法和不良信息举报电话:027-86699610 举报邮箱:58377363@163.com

精英家教网