题目内容
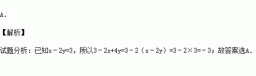
已知x﹣2y=3,那么代数式3﹣2x+4y的值是( )
A.﹣3 B.0 C.6 D.9
把不等式组的解集表示在数轴上,正确的是( )
已知|x﹣y+2|﹣=0,则x2﹣y2的值为 .
某地的一座人行天桥如图所示,天桥高为6米,坡面BC的坡度为1:1,为了方便行人推车过天桥,有关部门决定降低坡度,使新坡面的坡度为1:.
(1)求新坡面的坡角a;
(2)原天桥底部正前方8米处(PB的长)的文化墙PM是否需要拆桥?请说明理由.
若式子有意义,则实数x的取值范围是 .
在:0,﹣2,1,这四个数中,最小的数是( )
A.0 B.﹣2 C.1 D.
观察下列式子:
1×3+1=22;
7×9+1=82;
25×27+1=262;
79×81+1=802;
…
可猜想第2016个式子为 .
﹣12等于( )
A. 1 B. ﹣1 C. 2 D. ﹣2
设计一张折叠型方桌子如图,若AO=BO=50cm,CO=DO=30cm,将桌子放平后,要使AB距离地面的高为40cm,则两条桌腿需要叉开的∠AOB应为( )
A.60° B.90° C.120° D.150°