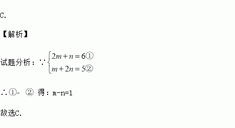
题目内容
已知方程组,则m﹣n的值是( )
A.﹣1 B.0 C.1 D.2
解不等式组:
请结合题意,完成本题解答.
(Ⅰ)解不等式①,得_______;
(Ⅱ)解不等式②,得________;
(Ⅲ)把不等式①和②的解集在数轴上表示出来:
(Ⅳ)原不等式组的解集为_________.
下列变形正确的是( ).
A. B. C. D.
方程组的解是
足球比赛中,胜一场可以积3分,平一场可以积1分,负一场得0分,某足球队最后的积分是17分,他获胜的场次最多是
A. 3场 B. 4场 C. 5场 D. 6场
如图,△ABC的顶点A,B,C都在小正方形的顶点上,试在方格纸上按下列要求画格点三角形:
(1)所画的三角形与△ABC全等,且有一条公共边;
(2)所画的三角形与△ABC全等,且有一个公共顶点;
(3)所画的三角形与△ABC全等,且有一个公共.
.
直角三角形两锐角的平分线所夹的钝角为_______度。
如图,已知∠A+∠ACD+∠D=360°,试说明:AB∥DE.
已知是一个完全平方式,则的值是__________.