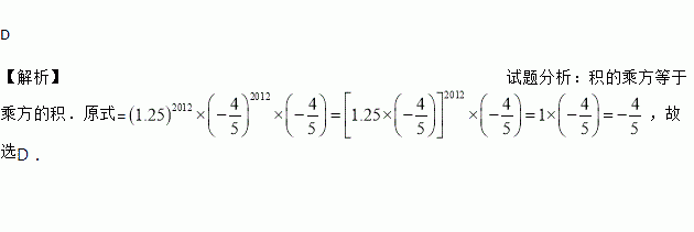
题目内容
的值是( )。
A.
B.
C. 1 D. ![]()
练习册系列答案
相关题目
甲、乙、丙三位选手各10次射击成绩的平均数和方差,统计如下表:
选手 | 甲 | 乙 | 丙 |
平均数 | 9.3 | 9.3 | 9.3 |
方差 | 0.026 | 0.015 | 0.032 |
则射击成绩最稳定的选手是________.(填“甲”“乙”“丙”中的一个)
题目内容
的值是( )。
A.
B.
C. 1 D. ![]()
甲、乙、丙三位选手各10次射击成绩的平均数和方差,统计如下表:
选手 | 甲 | 乙 | 丙 |
平均数 | 9.3 | 9.3 | 9.3 |
方差 | 0.026 | 0.015 | 0.032 |
则射击成绩最稳定的选手是________.(填“甲”“乙”“丙”中的一个)