题目内容
已知:在面积为7的梯形ABCD中,AD∥BC,AD=3,BC=4,P为边AD上不与A、D重合的一动点,Q是边BC上的任意一点,连接AQ、DQ,过P作PE∥DQ交AQ于E,作PF∥AQ交DQ于F,则△PEF面积最大值是 .
【答案】分析:设PD=x,S△PEF=y.根据平行线的性质、全等三角形的判定及相似三角形的判定,证明△PEF≌△QFE、△AEP∽△AQD、△PDF∽△ADQ,相似三角形的比是相似比的平方,再由三角形AQD与梯形ABCD的面积公式求得梯形的高,代入S△PEF=(S△AQD-S△DPF-S△APE)÷2,得出关于x的二次函数方程,根据顶点坐标公式,求得则△PEF面积最大值.
解答:
解:设PD=x,S△PEF=y,S△AQD=z,梯形ABCD的高为h,
∵AD=3,BC=4,梯形ABCD面积为7,
∴
解得
∵PE∥DQ,
∴∠PEF=∠QFE,∠EPF=∠PFD,
又∵PF∥AQ,
∴∠PFD=∠EQF,
∴∠EPF=∠EQF,
∵EF=FE,
∴△PEF≌△QFE(AAS),
∵PE∥DQ,
∴△AEP∽△AQD,
同理,△DPF∽△DAQ,
∴
=
,
=(
)2,
∴S△PEF=(S△AQD-S△DPF-S△APE)÷2,
∴y=-
x2+x,
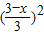
∵y最大值=
=
,即y最大值=
.
∴△PEF面积最大值是
.
点评:本题综合考查了二次函数的最值、三角形的面积、梯形的面积以及相似三角形的判定与性质.
解答:
∵AD=3,BC=4,梯形ABCD面积为7,
∴
解得
∵PE∥DQ,
∴∠PEF=∠QFE,∠EPF=∠PFD,
又∵PF∥AQ,
∴∠PFD=∠EQF,
∴∠EPF=∠EQF,
∵EF=FE,
∴△PEF≌△QFE(AAS),
∵PE∥DQ,
∴△AEP∽△AQD,
同理,△DPF∽△DAQ,
∴
∴S△PEF=(S△AQD-S△DPF-S△APE)÷2,
∴y=-
∵y最大值=
∴△PEF面积最大值是
点评:本题综合考查了二次函数的最值、三角形的面积、梯形的面积以及相似三角形的判定与性质.
练习册系列答案
相关题目