题目内容
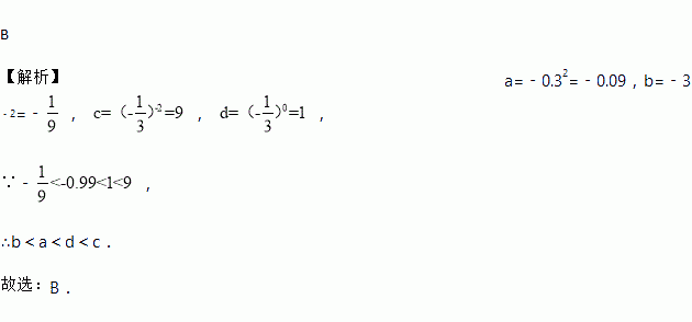
若a=0.32,b=﹣3﹣2,c=,d=,则它们的大小关系是( )
A. a<b<c<d B. b<a<d<c C. a<d<c<b D. c<a<d<b
抛物线y=2(x+3)2+1的顶点坐标是( )
A. (3,1) B. (3,﹣1) C. (﹣3,1) D. (﹣3,﹣1)
函数y=的自变量x的取值范围是________.
计算:(1) (2)
已知,则的值为_____.
下列计算正确的是( )
A. B. C. D.
方程组的解是________.
已知m2+n2-6m+10n+34=0,则m+n= __________
如图,在?ABCD中,点E,F分别在边DC,AB上,DE=BF,把平行四边形沿直线EF折叠,使得点B,C分别落在B′,C′处,线段EC′与线段AF交于点G,连接DG,B′G.
求证:(1)∠1=∠2;
(2)DG=B′G.