题目内容
当,,时,求的值.
学校要组织一场篮球联赛,赛制为单循环形式(每两队之间都只赛一场),计划安排10场比赛,应邀请_________ 个球队参加比赛.
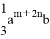
已知两个单项式与是同类项,求的值.
下列命题是假命题的是( )
A. 所有的实数都可用数轴上的点表示; B. 同位角相等,两直线平行;
C. 无理数包括正无理数,0,负无理数; D. 两点之间,线段最短.
某商场计划投入一笔资金采购一批紧俏商品,经过市场调查发现,如果月初出售,可获利15﹪,并可用本金和利润再投资其他商品,到月末又可获利10﹪;如果月末出售可获利30﹪,但要付出仓储费用700元.
(1)若商场投资元,分别用含的代数式表示月初出售和月末出售所获得的利润;
(2)若商场投资40000元,问选择哪种销售方式获利较多?此时获利多少元?
若代数式 的值为,则代数式 的值是___________.
有理数、在数轴上表示如下图,则下列等式错误的是( )
A. B. C. D.
观察一列单项式:a,-2a2,4a3,-8a4…根据你发现的规律,第7个单项式为______;第n个单项式为______.
在﹣3.5, ,0, , , ,0.161161116…中,无理数有( )个.
A. 1 B. 2 C. 3 D. 4