题目内容
(1)抛物线解析式中常数c的值;
(2)正方形MNPQ的边长.
【答案】分析:(1)观察各点坐标之间的关系,巧妙设点,减少未知量,由待定系数求出函数表达式,求出c的值;
(2)由题已知条件正方形ABCD的边长和正方形EFGH的边长之比为5:1,求出正方形MNPQ的边长.
解答:解:(1)因各点坐标都关于y轴对称,可以设特殊点坐标.由抛物线的函数解析式为y=-x2+c,
∵AB=BC,
设AB=a,则FE=
,又∵抛物线关于y轴对称,
故可设B(
,a),F(
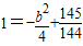
)代入y=-x2+c得:
,
即
.
抛物线解析式中常数c的值为
.
(2)∵正方形ABCD的边长和正方形EFGH的边长之比为5:1,即FG=
BC=
,
∴F(
).
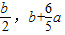
MN=NP=b,设N(
),
∵a=
,代入y=-x2+
∴b+
∴正方形MNPQ的边长b=
.
点评:此题考查二次函数图象上坐标之间的关系,巧妙设点来减少未知量,最后待定系数求出方程的解.
(2)由题已知条件正方形ABCD的边长和正方形EFGH的边长之比为5:1,求出正方形MNPQ的边长.
解答:解:(1)因各点坐标都关于y轴对称,可以设特殊点坐标.由抛物线的函数解析式为y=-x2+c,
∵AB=BC,
设AB=a,则FE=
故可设B(
即
抛物线解析式中常数c的值为
(2)∵正方形ABCD的边长和正方形EFGH的边长之比为5:1,即FG=
∴F(
MN=NP=b,设N(
∵a=
∴b+
∴正方形MNPQ的边长b=
点评:此题考查二次函数图象上坐标之间的关系,巧妙设点来减少未知量,最后待定系数求出方程的解.
练习册系列答案
相关题目