题目内容
计算:
(1)
;
(2)8(3x-1)-9(5x-1)-2(2x-7)=30;
(3)
;
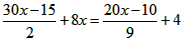
(4)
。
(1)
(2)8(3x-1)-9(5x-1)-2(2x-7)=30;
(3)
(4)
解:(1)移项,得
,
合并,得
,
两边同乘以
,得
;
(2)去括号,得24x-8-45x+9-4x+14=30,
移项,得24x-45x-4x=30+8-9-14,
合并,得-25x=15,
系数化为1,得
;
(3)去分母,得6(x+4)-30(x-5)=10(x+3)-15(x-2),
去括号,得6x+24-30x+150=10x+30-15x+30,
移项,得6x-30x-10x+15x=30+30-24-150,
合并,得-19x=-114,
系数化为1,得x=6;
(4)原方程可变为
,
去分母,得9(30x-15)+144x=2(20x-10)+72,
去括号,得270x-135+144x=40x-20+72,
移项,合并得374x=187,
系数化为1,得
。
合并,得
两边同乘以
(2)去括号,得24x-8-45x+9-4x+14=30,
移项,得24x-45x-4x=30+8-9-14,
合并,得-25x=15,
系数化为1,得
(3)去分母,得6(x+4)-30(x-5)=10(x+3)-15(x-2),
去括号,得6x+24-30x+150=10x+30-15x+30,
移项,得6x-30x-10x+15x=30+30-24-150,
合并,得-19x=-114,
系数化为1,得x=6;
(4)原方程可变为
去分母,得9(30x-15)+144x=2(20x-10)+72,
去括号,得270x-135+144x=40x-20+72,
移项,合并得374x=187,
系数化为1,得
练习册系列答案
相关题目