题目内容
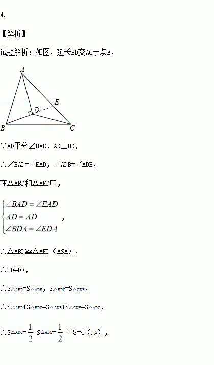
如图,已知S△ABC=8m2,AD平分∠BAC,且AD⊥BD于点D,则S△ADC= m2.
三角形的两边长为2和4,第三边长是方程的根,则这个三角形的周长是
若, ,且,则的值是___________.
数学课上,李老师出示了如下框中的题目.
小敏与同桌小聪讨论后,进行了如下解答:
(1)特殊情况•探索结论
当点E为AB的中点时,如图1,确定线段AE与的DB大小关系.请你直接写出结论:AE__________DB(填“>”,“<”或“=”).
(2)特例启发,解答题目
【解析】题目中,AE与DB的大小关系是:AE__________DB(填“>”,“<”或“=”).理由如下:
如图2,过点E作EF∥BC,交AC于点F,(请你完成以下解答过程)
(3)拓展结论,设计新题
在等边三角形ABC中,点E在直线AB上,点D在直线BC上,且ED=EC.若△ABC的边长为1,AE=2,求CD的长.
如图,已知AB=AC,AD=AE.求证:BD=CE.
若一个正数的平方根是2a+1和﹣a﹣4,则这个正数是 .
到一个三角形三个顶点的距离都相等的点是这个三角形的( )
A. 三条中线的交点 B. 三条角平分线的交点
C. 三条高的交点 D. 三条边的垂直平分线的交点
计算: =__.
将半径为3 cm的圆形纸片沿AB折叠后,圆弧恰好能经过圆心O,则∠AOB的度数为( )
A. 110° B. 120° C. 125° D. 135°