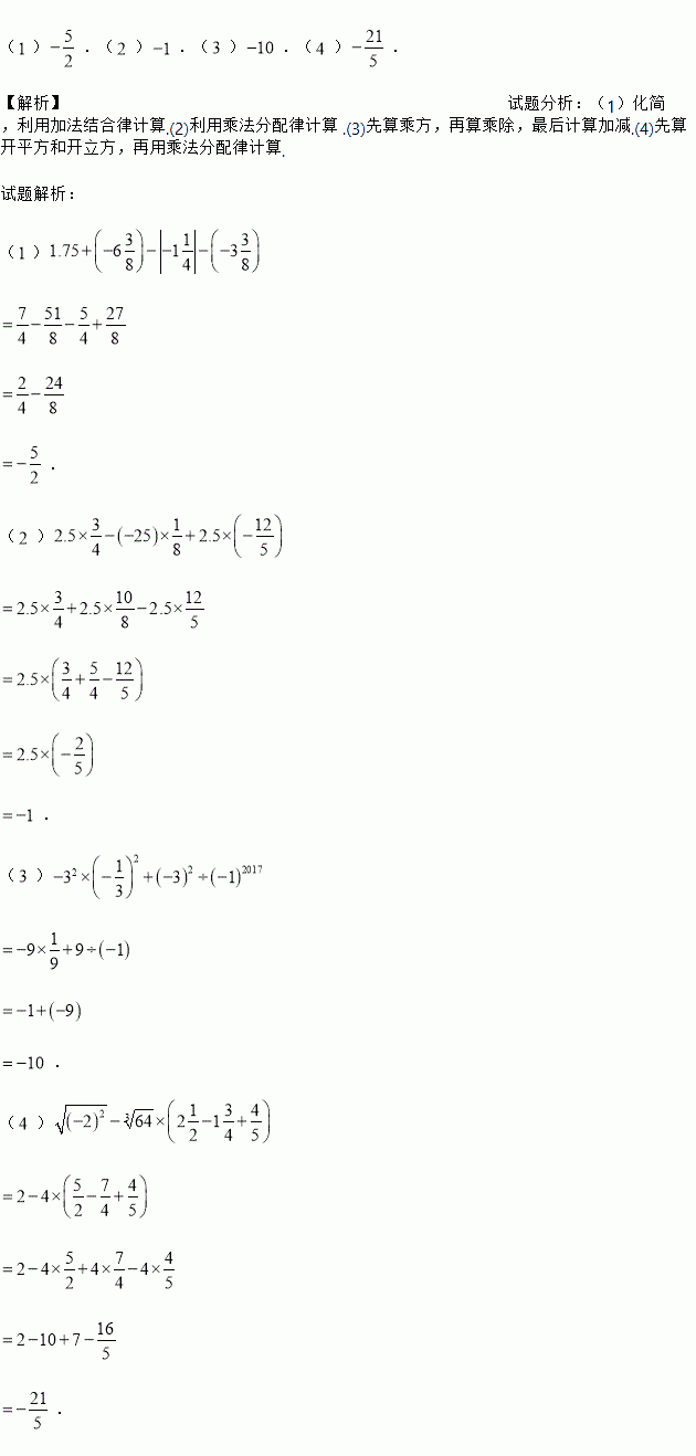
题目内容
(1).
(2).
(3).
(4).
一次函数y=kx+b(k,b是常数,k≠0)的图象,如图所示,则不等式kx+b>0的解集是( )
A. x<2 B. x<0 C. x>0 D. x>2
A、B两地相距120千米,一辆汽车从A地去B地,则其速度v(千米/时)与行驶时间t(小时)之间的函数关系可表示为 __________;
要使(4x-a)(x+1)的积中不含有x的一次项,则a等于( )
A.-4 B.2 C.3 D.4
(2016·内蒙古东河区一模)一种细菌的半径是0.000 045米,该数字用科学记数法表示正确的是( )
A. 4.5×105
B. 45×106
C. 4.5×10-5
D. 4.5×10-4
现规定一种新运算:a△b=ab-2a-2b+1,如:3△2=3×2-2×3-2×2+1=-3,则4△5的值为_________.
在下列实数中,无理数是( )
A. 5 B. C. 0 D.
如图,AB∥CD,∠B=∠C,E,F两点分别在CA、BD的延长线上,请将证明的过程填写完整.
证明:∵AB∥CD,
∴∠B=∠CDF(__________).
∵∠B=∠C,
∴∠CDF=∠C(___________).
∴AC∥BD(______________).
∴∠E=∠F.
用不等式表示下列语句:
(1)a的3倍与b的的和不大于3;
(2)x2是非负数;
(3)x的相反数与1的差不小于2;
(4)x与17的和比它的5倍小.