题目内容
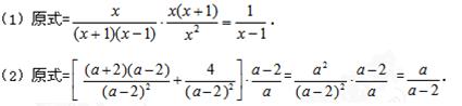
计算(每小题6分,共12分)(1); (2) .
解析
计算(每小题7分,共14分)
(1)(2a) 3·b4÷12a3b2 (2) (3x-1)(2x+3)-6x2
计算(每小题4分,共8分)
(1) (2)