题目内容
如图,AD∥BE∥CF,直线l1,l2这与三条平行线分别交于点A,B,C和点D,E,F.已知AB=1,BC=3,DE=2,则EF的长为( )
A. 4 B. 5 C. 6 D. 8
如图是由5个大小相同的正方体组成的几何体,它的主视图是( )
A. B. C. D.
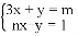
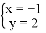
已知是二元一次方程组的解,则m-n的值是( )
A. 1 B. 2 C. 3 D. 4
如图是由一些完全相同的小正方体搭成的几何体的俯视图和左视图,组成这个几何体的小正方体的个数最少是_____.
如图,在一笔直的海岸线l上有A、B两个观测站,AB=2km、从A测得船C在北偏东45°的方向,从B测得船C在北偏东22.5°的方向,则船C离海岸线l的距离(即CD的长)为( )
A. 4km B. (2+)km C. 2km D. (4-)km
以四边形ABCD的边AB、AD为边分别向外侧作等边三角形ABF和ADE,连接EB、FD,交点为G.
(1)当四边形ABCD为正方形时(如图1),EB和FD的数量关系是 ;
(2)当四边形ABCD为矩形时(如图2),EB和FD具有怎样的数量关系?请加以证明;
(3)四边形ABCD由正方形到矩形到一般平行四边形的变化过程中,∠EGD是否发生变化?如果改变,请说明理由;如果不变,请在图3中求出∠EGD的度数.
如图,菱形ABCD周长为16,∠ADC=120°,E是AB的中点,P是对角线AC上的一个动点,则PE+PB的最小值是_____.
如图,在RtΔABC中,∠C=90º,以BC为直径作⊙O交AB于点D,取AC的中点E,边结DE,OE、OD,求证:DE是⊙O的切线。
已知一次函数y=(a+8)x+(6-b).
(1)a,b为何值时,y随x的增大而增大?
(2)a,b为何值时,图象过第一、二、四象限?
(3)a,b为何值时,图象与y轴的交点在x轴上方?
(4)a,b为何值时,图象过原点?