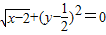
题目内容
已知
【答案】分析:根据非负数的性质列出方程组求出x,y的值,再求代数式的值即可.
解答:解:因为
,
所以
,解得
,
所以原式=
.
点评:本题考查了非负数的性质.
初中阶段有三种类型的非负数:
(1)绝对值;
(2)偶次方;
(3)二次根式(算术平方根).
当它们相加和为0时,必须满足其中的每一项都等于0.
解答:解:因为
所以
所以原式=
点评:本题考查了非负数的性质.
初中阶段有三种类型的非负数:
(1)绝对值;
(2)偶次方;
(3)二次根式(算术平方根).
当它们相加和为0时,必须满足其中的每一项都等于0.
练习册系列答案
相关题目