题目内容

关于x的方程有两个不相等的实数根.
(1)求k的取值范围。
(2)是否存在实数k,使方程的两个实数根的倒数和等于0?若存在,求出k的值;若不存在,说明理由

(1)k的取值范围是k>-1,且k≠0(2) 不存在符合条件的k的值。

解析试题分析:(1)由△=[4(k+2)]2-4×4k·k>0
∴k>-1
又∵4k≠0
∴k的取值范围是k>-1,且k≠0
(2)不存在符合条件的实数k
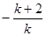
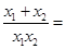
理由:设方程4kx2+4(k+2)x+k=0的两根分别为x1、x2,由根与系数关系有:
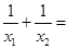
x1+x2=,x1·x2=
 =0

由(1)知,时,△<0,原方程无实解
∴不存在符合条件的k的值。
考点:一元二次方程
点评:本题难度中等,主要考查学生对一元二次方程知识点的掌握,运用根与系数的关系进行分析为解题关键。

练习册系列答案
相关题目

违法和不良信息举报电话:027-86699610 举报邮箱:58377363@163.com

精英家教网