题目内容
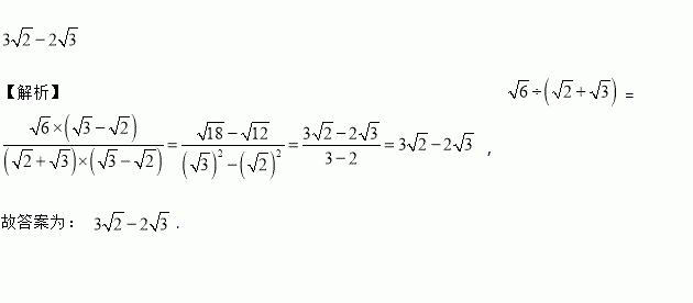
计算=________________ .
函数y=中,自变量x的取值范围是( )
A. x>0 B. x>1 C. x>0且x≠1 D. x≥0且x≠1
已知x=2m+n+2和x=m+2n时,多项式x2+4x+6的值相等,且m﹣n+2≠0,则当x=3(m+n+1)时,多项式x2+4x+6的值等于 .
已知:如图,在?ABCD中,BE、CE分别平分∠ABC、∠BCD,E在AD上,BE=12cm,CE=5cm.求?ABCD的周长和面积.
某校去年对实验器材的投资为2万元,预计今明两年的投资总额为8万元,若设该校这两年在实验器材投资上的平均增长率为x,则可列方程:_____.
正方形具有而菱形不具有的性质是( )
A. 对角线互相平分 B. 对角线相等
C. 对角线平分一组对角 D. 对角线互相垂直
下列说法中不正确的是( )
A. 三个角度之比为3:4:5的三角形是直角三角形
B. 三边之比为3:4:5的三角形是直角三角形
C. 三个角度之比为1:2:3的三角形是直角三角形
D. 三边之比为1:2: 的三角形是直角三角形
已知关于x的方程x2﹣(2k﹣1)x+k2=0有两个不相等的实数根,那么k的最大整数值是( )
A. ﹣2 B. ﹣1 C. 0 D. 1
小王和小李都想去体育馆,观看在我县举行的“市长杯”青少年校园 足球联赛,但两人只有一张门票,两人想通过摸球的方式来决定谁去观看,规则如下: 在两个盒子内分别装入标有数字 1,2,3,4 的四个和标有数字 1,2,3 的三个完全相 同的小球,分别从两个盒子中各摸出一个球,如果所摸出的球上的数字之和小于 6,那 么小王去,否则就是小李去.
(1)用树状图或列表法求出小王去的概率;
(2)小李说:“这种规则不公平.”你认同他的说法吗?请说明理由.