题目内容
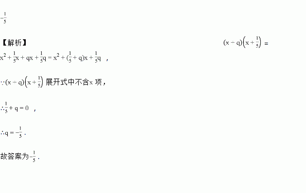
如果展开式中不含项,则__________.
将点A(-3,1)向右平移5个单位长度,再向上平移6个单位长度,可以得到对应点A′的坐标为_________.
如图,在△ABC中,AC=6,BC=8,DE是△ABD的边AB上的高,且DE=4,AD=,BD=,求△ABC的边AB上的高.
对于函数y=-3x+1,下列结论正确的是( )
A. 它的图象必经过点(-1,3) B. 它的图象经过第一、二、三象限
C. 当x=1时,y<0 D. y的值随x的增大而增大
按下列程序计算,把答案填写在表格内,然后看看有什么规律,想想为什么有这样的规律?
()填表内空格:
输入
答案
()你发现的规律是__________.
()证明你发现的规律.
已知a是-2的相反数,且|b+1|=0,则[-3a2(ab2+2a)+4a(-ab)2]÷(-4a)的值为_____.
下列运算错误的是( )
A. -m2·m3=-m5 B. -x2+2x2=x2
C. (-a3b)2=a6b2 D. -2x(x-y)=-2x2-2xy
当x=-3时, 的值是( )
A. ±3 B. 3 C. -3 D. 9
如图,在6×6方格中有两个涂有阴影的图形M、N,①中的图形M平移后位置如图②所示,以下对图形M的平移方法叙述正确的是 ( )
A. 向右平移2个单位,向下平移3个单位
B. 向右平移1个单位,向下平移3个单位
C. 向右平移1个单位,向下平移4个单位
D. 向右平移2个单位,向下平移4个单位