题目内容
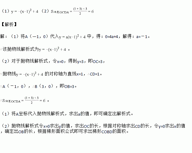
如图,抛物线与x轴交于点A,B,与轴交于点C。过点C作CD∥x轴,交抛物线的对称轴于点D,连结BD。已知点A坐标为(-1,0)。
(1)求该抛物线的解析式;
(2)求梯形COBD的面积。
把算式“(﹣2)﹣(﹣5)+(﹣3)﹣(﹣1)”写成省略加号和括号的形式,结果正确的是( )
A. 2﹣5+3﹣1 B. 2+5﹣3+1 C. ﹣2﹣5+3﹣1 D. ﹣2+5﹣3+1
如图,正方形ABCD中,对角线AC,BD交于点O,点M,N分别为OB,OC的中点,则cos∠OMN的值为( )
A. B. C. D. 1
将二次函数化为的形式:________.
如图为二次函数的图象,则下列说法:①;②;③当时,;④.其中正确的个数为( )
A. 1 B. 2 C. 3 D. 4
如图,在平面直角坐标系xOy中,已知抛物线y=ax2+bx(a>0)的顶点为C,与x轴的正半轴交于点A,它的对称轴与抛物线y=ax2(a>0)交于点B.若四边形ABOC是正方形,则b的值是_____.
若二次函数y=﹣x2+4x+c的图象经过A(1,y1),B(﹣1,y2),C(2+ ,y3)三点,则y1、y2、y3的大小关系是( )
A. y1<y2<y3 B. y1<y3<y2 C. y2<y3<y1 D. y2<y1<y3
如图,线段AB的长为2,C为AB上一个动点,分别以AC、BC为斜边在AB的同侧作两个等腰直角三角形△ACD和△BCE,那么DE长的最小值是______________.
如果抛物线y=ax2﹣2ax+c与x轴的一个交点为(5,0),那么与x轴的另一个交点的坐标是_____.