题目内容
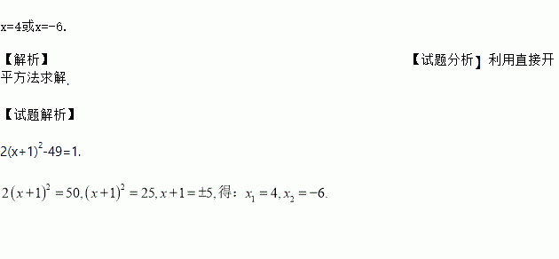
求x的值:2(x+1)2-49=1.
七边形内角和是_________.
某公司经营杨梅业务,以3万元/吨的价格买入杨梅后,分拣成A、B两类,A类杨梅包装后直接销售,包装成本为1万元/吨,它的平均销售价格y(单位:万元/吨)与销售数量x(≥2,单位:吨)之间的函数关系如图所示;B类杨梅深加工后再销售,深加工总费用s(单位:万元)与加工数量t(单位:吨)之间的函数关系是,平均销售价格为9万元/吨.
(1)A类杨梅的销售量为5吨时,它的平均销售价格是每吨多少万元?
(2)若该公司收购10吨杨梅,其中A类杨梅有4吨,则经营这批杨梅所获得的毛利润(w)为多少万元?(毛利润=销售总收入-经营总成本)
(3)若该公司收购20吨杨梅,其中A类杨梅有x吨,经营这批杨梅所获得的毛利润为w万元.
①求w关于x的函数关系式;
②若该公司获得了30万元毛利润,问:用于直销的A类杨梅有多少吨?
如下表是某社区10户居民在今年3月份的用电情况:
居民(户数)
1
2
3
4
月用电量(度/户)
30
42
50
52
则关于这10户居民月用电量的中位数是( )
A. 42 B. 46 C. 50 D. 52
如图,A(﹣1,0),C(1,4),点B在x轴上,且AB=4.
(1)求点B的坐标,并画出△ABC;
(2)求△ABC的面积;
(3)在y轴上是否存在点P,使以A.B、P三点为顶点的三角形的面积为12?若存在,请直接写出点P的坐标;若不存在,请说明理由.
如图,∠1的同旁内角是___________,∠2的内错角是_____________.
已知是二元一次方程组的解,则m-n的值是( )
A. 1 B. 2 C. 3 D. 4
用计算器计算:sin52°18′=_________________.(保留三个有效数字)
若一个扇形的圆心角为60°,面积为6π,则这个扇形的半径为__________.