题目内容

如图,甲转盘被分成3个面积相等的扇形,乙转盘被分成4个面积相等的扇形,每一个扇形都标有相应的数字.同时转动两个转盘,当转盘停止后,设甲转盘中指针所指区域内的数字为x,乙转盘中指针所指区域内的数字为y(当指针指在边界线上时,重转一次,直到指针指向一个区域为止).

(1)请你用画树状图或列表格的方法,求出点(xy)落在第二象限内的概率;
(2)直接写出点(xy)落在函数图象上的概率.

(1)画树状图或表格                   (4分) 
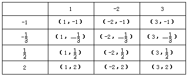
根据题意,画表格:

得:一共有12种可能,点落在第二象限内的有2种可能,
点落在第二象限的概率为         (6分)
(2)落在反比例图像上的概率为  (8分)

解析

练习册系列答案
相关题目

违法和不良信息举报电话:027-86699610 举报邮箱:58377363@163.com

精英家教网