题目内容
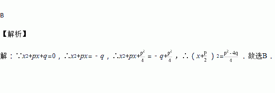
用配方法解关于x的方程x2 + px + q = 0时,此方程可变形为
A. . B.
C. D.
小明在抄分解因式的题目时,不小心漏抄了x的指数,他只知道该数为不大于10的正整数,并且能利用平方差公式分解因式,他抄在作业本上的式子是x□﹣4y2(“□”表示漏抄的指数),则这个指数可能的结果共有( )
A. 2种 B. 3种 C. 4种 D. 5种
若代数式x-7与-2x+2的值互为相反数,则x的值为( )
A. 3 B. -3 C. 5 D. -5
命题:“如果m是整数,那么它是有理数”,则它的逆命题为: .
竖直上抛物体的高度h和时间t符合关系式h=v0t-gt2,其中重力加速度g以10米/秒2计算.爆竹点燃后以初速度v0=20米/秒上升,问经过多少时间爆竹离地15米?
直角三角形的两直角边的比是3︰4,而斜边的长是20㎝,那么这个三角形的面积是______.
已知:如图1,△ABC是等腰直角三角形,∠BAC=90°,DE是经过点A的直线,作BD⊥DE,CE⊥DE,
(1)求证:DE=BD+CE.
(2)如果是如图2这个图形,我们能得到什么结论?并证明.
解分式方程时,去分母后变形为
A. B.
某三角形第一条边长 厘米,第二条边比第一条边长 厘米,第三条边比第一条边的2倍少b厘米,那么这个三角形的周长是______________厘米。