题目内容
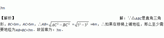
如图所示,一段楼梯,高BC是3 m,斜边AC是5 m,如果在楼梯上铺地毯,那么至少需要地毯________.
若4x2+(m+1)xy+9y2 是完全平方式,则m的值是___________.
我们给出如下定义:若一个四边形中存在相邻两边的平方和等于一条对角线的平方,则称这个四边形为勾股四边形,这两条相邻的边称为这个四边形的勾股边.
(1)写出你所知道的四边形中是勾股四边形的两种图形的名称_____,_____;
(2)如图,将△ABC绕顶点B按顺时针方向旋转60°后得到△DBE,连接AD、DC,若∠DCB=30°,试证明;DC2+BC2=AC2.(即四边形ABCD是勾股四边形)
如图,是一个正方体纸盒的展开图,若在其中三个正方形A,B,C中分别填入适当的数,使得它们折成正方体后相对的面上两个数互为相反数,则填入正方形A,B,C中的三个数依次是( )
A. 1,﹣3,0 B. 0,﹣3,1 C. ﹣3,0,1 D. ﹣3,1,0
如果三角形有一边上的中线恰好等于这边的长,那么称这个三角形为“有趣三角形”,这条中线称为“有趣中线”。如图,在三角形ABC中,∠C=90°,较短的一条直角边BC=1,且三角形ABC是“有趣三角形”,求三角形ABC的“有趣中线”的长。
有一个面积为1的正方形,经过一次“生长”后,在它的左右肩上生出两个小正方形(如图1),其中,三个正方形围成的三角形是直角三角形,再经过一次“生长”后,生出了4个正方形(如图2),如果按此规律继续“生长”下去,它将变得“枝繁叶茂”.在“生长”了2 017次后形成的图形中所有正方形的面积和是( )
图1 图2
A. 2015 B. 2016 C. 2017 D. 2018
在△ABC中,三边长满足b2-a2=c2,则互余的一对角是( )
A. ∠A与∠B B. ∠B与∠C C. ∠A与∠C D. 以上都不正确
一个不透明的袋中有若干个红球,为了估计袋中红球的个数,小华在袋中放入10个除颜色外其他完全相同的白球,每次摇匀后随机从袋中摸出一个球,记下颜色后放回袋中,通过大量重复摸球实验后发现,摸到白球的频率是,则袋中红球约为 ( )
A. 4个 B. 25个 C. 14个 D. 35个
如图:已知直线 AB、CD 相交于点 O,∠COE=90°
(1)若∠AOC=36°,求∠BOE 的度数;
(2)若∠BOD:∠BOC=1:5,求∠AOE 的度数.
[Failed to download image : http://qbm-images.oss-cn-hangzhou.aliyuncs.com/QBM/2018/4/13/1923292236627968/1924724835590144/STEM/dc8ee683cff64dfdb92368e07f9f9b9d.png]