题目内容
阅读材料:设一元二次方程ax2+bx+c=0(a≠0)的两根为x1,x2,则两根与方程系数之间有如下关系:x1+x2=-A.4
B.6
C.8
D.10
【答案】分析:根据一元二次方程的根与系数的关系得到,两根之和与两根之积,把代数式变形成与两根之和和两根之积有关的式子,代入两根之和与两根之积,求得代数式的值.
解答:解:∵x1,x2是方程x2+6x+3=0的两实数根,
∴x1+x2=-
=-6,
x1•x2=
=3,
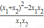
则
+
=
=
=
=10.
故本题选D.
点评:本题考查了一元二次方程根与系数的关系.解此类题目要会将代数式变形为两根之积或两根之和的形式,代入数值计算即可.
一元二次方程ax2+bx+c=0(a≠0)的根与系数的关系为:x1+x2=-
,x1•x2=
.
解答:解:∵x1,x2是方程x2+6x+3=0的两实数根,
∴x1+x2=-
x1•x2=
则
故本题选D.
点评:本题考查了一元二次方程根与系数的关系.解此类题目要会将代数式变形为两根之积或两根之和的形式,代入数值计算即可.
一元二次方程ax2+bx+c=0(a≠0)的根与系数的关系为:x1+x2=-
练习册系列答案
相关题目
(1)阅读材料:设一元二次方程ax2+bx+c=0(a≠0)的两根为x1,x2,则两根与方程系数之间有如下关系:x1+x2=-
,x1•x2=
.
根据该材料:已知x1、x2是方程x2+6x+3=0的两实数根,求
+
的值.
(2)已知二次函数y=ax2+bx+c中,其函数y与自变量x之间的部分对应值如下表所示:
| x | … | 0 | 1 | 2 | 3 | … |
| y | … | 5 | 2 | 1 | 2 | … |
(1)阅读材料:设一元二次方程ax2+bx+c=0(a≠0)的两根为x1,x2,则两根与方程系数之间有如下关系:x1+x2=-
,x1•x2=
.
根据该材料:已知x1、x2是方程x2+6x+3=0的两实数根,求
+
的值.
(2)已知二次函数y=ax2+bx+c中,其函数y与自变量x之间的部分对应值如下表所示:
点A(x1,y1)、B(x2,y2)在函数的图象上,当0<x1<1,2<x2<3时,试判断y1与y2的大小关系.
根据该材料:已知x1、x2是方程x2+6x+3=0的两实数根,求
(2)已知二次函数y=ax2+bx+c中,其函数y与自变量x之间的部分对应值如下表所示:
| x | … | 1 | 2 | 3 | … | |
| y | … | 5 | 2 | 1 | 2 | … |